电话:029-87679000(总机)
地址:陕西省西安市西五路157号
邮编:710114
网址:www.2yuan.xjtu.edu.cn
奶茶虽好喝,千万别贪杯。如果实在是喜欢喝奶茶,不如尝试自己动手做一杯真奶真茶的纯奶茶~
不知道你是否是这样?在工作、学习有点累的时候,嘴就闲不住,最想喝点甜甜的饮品,给心和嘴带来双重满足~
最近,霜降已过,秋天的气息愈发浓厚,天气渐渐转凉,一杯热乎乎的奶茶成了许多人温暖心灵的选择奶茶——无论是街头巷尾随处可见的奶茶店,还是各品牌秋季新口味的推出,都似乎非常适合给这初秋带来一丝丝甜蜜的慰藉。
但人们在享受“秋天的第一杯奶茶”来浅浅满足一下自己的口腹之欲时,往往忽视了奶茶很可能是个隐形的“健康杀手”。
为什么这么说呢?抛开植脂末以及淀粉小料不谈,即使有“无糖”的选项,其实大部分人在点奶茶的时候,还是会选择“七分糖”或者“半糖”,不然奶茶不就失去灵魂了?
正是这个添加糖,出大问题——不仅使人“疯狂发福”,还增加多种疾病风险!
Nature:奶茶长胖的机制找到了!
果糖使肠道绒毛增长40%,促进营养吸收
果糖是一种天然存在于水果和蜂蜜中的甜味剂,也是高果糖玉米糖浆的一种成分,常常被添加在奶茶中作为重要的“甜味来源”。从历史上来看,人们目前消耗的果糖量达到顶峰,当然代价也很明显——肥胖症和癌症发病率的激增。
那么,奶茶中的果糖到底是如何一步步地诱发肥胖的呢?Nature上刊登的Dietary fructose improves intestinal cell survival and nutrient absorption研究,深入探讨了“果糖肥”的背后机制。
研究发现,膳食果糖能提高肠道细胞的存活率,增加肠道绒毛长度。绒毛长度增加了,肠道的表面积也随之扩大,增加了对高脂食物的营养吸收和脂肪含量。具体来说,喂食含果糖饮食的小鼠的绒毛比未喂食果糖的小鼠长25%至40%,从而使小鼠体重增加。

DOI:10.1038/s41586-021-03827-2
绒毛(villus)是排列在小肠内部的细长毛发状结构。绒毛扩大了肠道的表面积,帮助身体在食物通过消化道时从中吸收营养,包括脂肪。因此,绒毛长度的增加与动物的营养吸收、体重增加和脂肪积累增加息息相关。
为了探究高果糖饮食与肠道绒毛长度之间的关系,研究者将小鼠分成3组:不含果糖的对照饮食、含有葡萄糖不含果糖的标准高脂饮食(45%的热量来自于脂肪)、等热量的高脂饮食(葡萄糖被蔗糖取代,蔗糖中一半葡萄糖,一半果糖)。
研究结果令人惊讶!尽管每组小鼠消耗的能量相同,但与不含果糖的高脂肪饮食组相比,以蔗糖形式喂食果糖的小鼠,体重和脂肪量明显增加,而且小肠绒毛更长。

喂食果糖的小鼠体重更高,绒毛更长
此外,与无蔗糖的对照组小鼠相比,以蔗糖形式喂食果糖的小鼠在口服脂肪后,血清甘油三酯的水平更高。
这些数据表明,饮食中的果糖可以增加肠道绒毛长度和营养物质的吸收。
紧接着,研究人员仔细研究了果糖组小鼠的新陈代谢变化,发现果糖的一种特定代谢物,称为1-磷酸果糖,在细胞中高水平积累。在缺氧的肠道细胞中,1-磷酸果糖通过抑制丙酮酸激酶(PK)的M2异构体,增加了肠道上皮细胞的存活率,从而增加肠绒毛的长度。

果糖代谢增强了缺氧细胞的生存能力,并降低了丙酮酸激酶的活性
综上,在高果糖的喂养下,小鼠的肠道绒毛长度增加了25-40%,导致更多的营养吸收和脂肪囤积,从而诱发肥胖甚至癌症的发生。
研究者之一Goncalves博士补充道,“虽然果糖本身没有害处,但是果糖摄入过多就有害了。我们的身体并不是为了吃那么多果糖而设计的。”
近10万人、长达24年随访:
每天500毫升奶茶,结直肠癌风险翻倍!
当然,以上研究是基于小鼠实验的。不过,已有人群研究证实,经常性地饮用奶茶以及其他的含糖饮料会显著增加患癌风险,尤其是结直肠癌。
胃肠病领域顶级期刊Gut上刊登的Sugar-sweetened beverage intake in adulthood and adolescence and risk of early-onset colorectal cancer among women研究,对护士健康研究II中收集到95,464名参与者进行了长达24年的随访,并证实了“含糖饮料与结直肠癌患病风险之间的关联”。
结果显示:在成年后,与摄入含糖饮料<1份/周的相比,饮用≥2份/天的女性罹患早发性结直肠癌的风险增加了1.18倍!如果在青春期就饮用更多的含糖饮料,早发性结直肠癌的发病风险则会更高。

doi: 10.1136/gutjnl-2020-323450IF: 23.0 Q1
历时24年随访发现,95464名受调查的女性中有109例早发性结直肠癌发生。
在校正了其他影响结直肠癌发病的因素,含糖饮料对早发性结直肠癌的影响仍旧显著。
具体来说,在成年期,含糖饮料摄入≥2份/天的女性早发性结直肠癌的风险是含糖饮料摄入<1份/周的女性的2.18倍;而每天多摄入一份含糖饮料,早发性结直肠癌风险增加16%。(注:1份为236.56毫升)

成年期含糖饮料摄入与早发性结直肠癌发病风险
此外,在这项前瞻性队列研究中,另有41272女性在1998年回忆记录了她们青春期(13-18岁)的膳食摄入。根据这些记录,研究人员同样发现:
在青春期,与含糖饮料摄入<1份/周的女性相比,每天饮用≥2份含糖饮料会导致早发性结直肠癌的风险升高了2.41倍。换言之,每天多摄入一份含糖饮料,早发性结直肠癌风险增加32%。

13-18岁含糖饮料摄入与早发性结直肠癌发病风险
实在是爱喝奶茶或其他含糖饮料咋办,是否有替代方法呢?
在这项研究中,研究人员还发现代糖饮料及果汁的摄入与早发性结直肠癌关系不大,以每天一杯代糖饮料/咖啡/脱脂牛奶/全脂牛奶代替每天一杯含糖饮料,能够使早发性结直肠癌风险降低17%-36% 。
纯净水和茶替代含糖饮料,虽然也有降低早发性结直肠癌发病风险的趋势,但在本项研究中未达到统计学显著性。

替代饮品的影响情况
综上,本研究揭示了在青春期和成年期摄入更多的含糖饮料,会显著增加年轻人群中早发性结直肠癌的发生率,而用咖啡、牛奶、代糖饮料替代含糖饮料能够降低该病风险。
中山大学团队开展国人调查发现:
过多摄入含糖饮料才是痛风的元凶
事实上,称奶茶为隐形的“健康杀手”一点也不为过。经常饮用奶茶带来的健康损害远不止上述提到的这一点儿,除了心血管疾病和癌症之外,内分泌及代谢疾病也是一大重灾区,比如痛风。
众所周知,痛风是由长期高尿酸血症引起的慢性疾病,其中饮食因素,如酒精、红肉、海鲜,是公认的高尿酸血症和痛风发作的风险因素。每每身边出现痛风患者,人们都会提上一嘴“少吃海鲜少喝酒”,可见饮酒致高尿酸的观点早已深入人心。
但来自中山大学孙逸仙纪念医院的研究团队在Frontiers in Nutrition上发表的研究,恐颠覆先前的认知——更高的含糖饮料摄入量,与更高的血清尿酸盐(sUA)水平以及更高的肥胖率之间有着紧密联系;更为颠覆的是,用含糖饮料取代酒精摄入,竟是早发男性痛风的主要饮食危险因素。
换言之,早发性痛风患者的高血清尿酸盐水平和高肥胖率,主要归因于高含糖饮料摄入量,而非其他常见的痛风相关饮食因素。奶茶竟然超过啤酒“拔得头筹”,成为痛风幕后的终极BOSS?!

https://doi.org/10.3389/fnut.2022.916811IF: 4.0 Q2
在研究者收集到的全部655名痛风患者中,94.6%为男性,59.1%为早发性痛风。其中,所有早发患者均为男性。
此外,所有纳入研究的痛风患者均被要求填写一份涉及10种食物的食物频率调查问卷,包括:动物内脏、红肉、海鲜、酒精、含糖饮料(SSB)、咖啡、牛奶和奶制品、火锅、慢煮汤和茶。
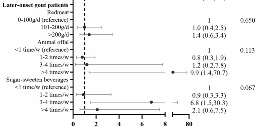
对比不同组间的食物摄入频率发现,与迟发性痛风相比,早发性痛风患者会摄入更多的红肉(101-200克/天:43.6% vs. 26.0%)、含糖饮料(每周>4次:27.9% vs. 7.7%)、牛奶和奶制品(每周1-2次:28.5% vs. 16.6%);但后者比前者摄入更少的酒精(每天>84克:8.5% vs. 21.5%)和茶(每周>4次:35.7% vs. 52.4%)。

不同组间的饮食因素差异
那么,在诸多饮食因素中,哪个才是“罪魁祸首”呢?
校正了潜在的混杂因素后,进一步的数据分析显示,在早发性痛风患者中,含糖饮料的摄入量与sUA≥600 μmol/L和肥胖率之间均存在着显著正相关。
具体来说,与每周<1次相比,每周饮用>4次含糖饮料或导致sUA≥600 μmol/L的风险升高110%;每周仅饮用1-2次含糖饮料,肥胖发生风险会升高150%!

食物摄入频率与痛风风险之间的关联
综上,早发性痛风患者的特点是更高的sUA水平和肥胖患病率;而更高频地饮用含糖饮料,也会导致sUA水平和肥胖率越高。作为“致病效果”超过酒精的饮食因素,对痛风高危人群来说,限制含糖饮料的饮用量刻不容缓!
奶茶虽好喝,千万别贪杯。如果实在是喜欢喝奶茶,不如尝试自己动手做一杯真奶真茶的纯奶茶~
参考文献
[1]Taylor, S.R., Ramsamooj, S., Liang, R.J. et al. Dietary fructose improves intestinal cell survival and nutrient absorption. Nature 597, 263–267 (2021). https://doi.org/10.1038/s41586-021-03827-2IF: 50.5 Q1
[2]Hur J, Otegbeye E, Joh HK, Nimptsch K, Ng K, Ogino S, Meyerhardt JA, Chan AT, Willett WC, Wu K, Giovannucci E, Cao Y. Sugar-sweetened beverage intake in adulthood and adolescence and risk of early-onset colorectal cancer among women. Gut. 2021 Dec;70(12):2330-2336. doi: 10.1136/gutjnl-2020-323450IF: 23.0 Q1 . Epub 2021 May 6. PMID: 33958435IF: 23.0 Q1 ; PMCID: PMC8571123IF: 23.0 Q1 .
[3]Li QH, Zou YW, Lian SY, Liang JJ, Bi YF, Deng C, Mo YQ, Yang KM, Dai L. Sugar-Sweeten Beverage Consumption Is Associated With More Obesity and Higher Serum Uric Acid in Chinese Male Gout Patients With Early Onset. Front Nutr. 2022 Jul 12;9:916811. doi: 10.3389/fnut.2022.916811IF: 4.0 Q2 . PMID: 35903455IF: 4.0 Q2 ; PMCID: PMC9318574IF: 4.0 Q2 .